
Q彩网在主动冷却发动机多通道流动失稳模式及其耦合机制研究取得进展
吸热型碳氢燃料在冲压发动机主动冷却结构中吸热升温后会经历过热液态、跨临界态、超临界态甚至裂解态等一系列复杂的物理化学过程。由此导致的热力诱导流动不稳定性是高超声速飞行器发动机主动冷却的关键问题之一。长期以来,对于多管道失稳流动研究多集中于流量漂移以及密度波动态失稳两个独立问题,但两者在并联管道失稳流动中实际是紧密关联的。尤其是在多管道、多物理耦合的强非线性作用下系统的失稳模式变得更加复杂。因此,考虑多机制耦合下的复合失稳对于推进冷却系统设计及优化具有重要的科学研究价值与工程指导意义。
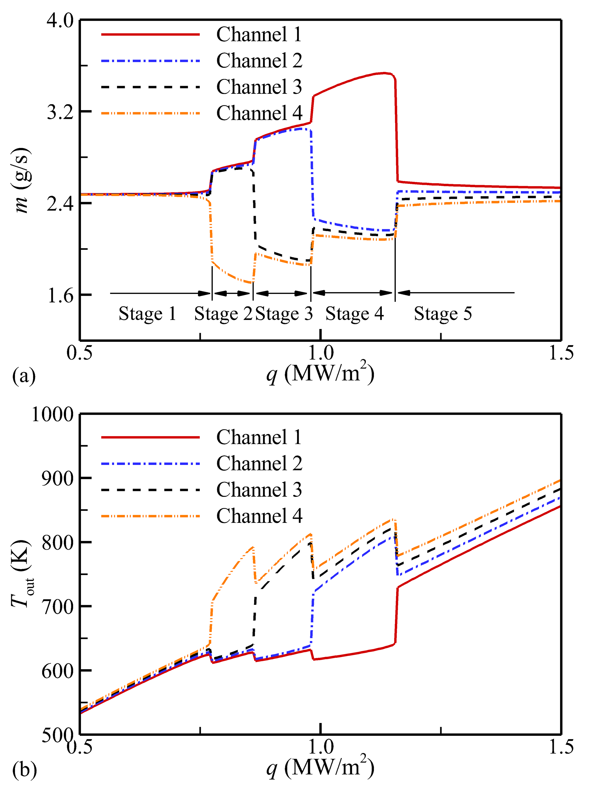
Q彩网超声速燃烧研究团队在国内率先提出冲压发动机碳氢燃料主动冷却技术,前期在主动冷却基本原理与关键技术方面取得了一系列成果。近年来,面向发动机运行鲁棒性,尤其是复杂型面燃烧室、极端热流等新挑战,开展了冷却面板多通道超临界流动失稳模式及耦合机制的系统研究。详细对比了如图1所示的典型碳氢燃料基础导数,分析了高温碳氢燃料真实气体效应对管道内流动特性的影响。发展了包括准稳态、时域及频域分析的多维度超临界管流失稳研究理论模型与模拟程序。通过如图2所示的拟过冷数-拟相变数空间,解析了管内稳态流动、流量漂移Ledinegg不稳定性、密度波不稳定性以及振荡漂移等几种典型模式。针对对单通道及并联通道的失稳特性开展了研究,揭示了不同的失稳模式特征及其物理机制,发现了流量振荡漂移的新型失稳模式,给出了碳氢燃料超临界管流的稳定工作图谱。研究发现,针对四通道冷却面板,即使在热流比例分别为0.99:1.00:1.01:1.02的极小偏差下,仍然会诱导出如图3所示的流量漂移现象。同时,刻画了图4中冷却面板多通道间不同失稳模式并存以及不同失稳模式间相互干扰的动态演化过程。在此基础上,针对性地发展了基于主/被动控制策略的超临界管流高效强鲁棒失稳调控方案,提出的局部节流、变管径设计、以及动态压降补偿等方法取得了良好效果。
上述工作发表在《Journal of Thermophysics and Heat Transfer》《Chinese Journal of Aeronautics》《力学学报》《推进技术》等主流期刊,并入选Chinese Journal of Aeronautics亮点文章(https://doi.org/10.1016/j.cja.2023.09.027)。Q彩网博士生靳一超为第一作者,范学军研究员为通讯作者。该工作获得了国家重大项目、中国科学院战略性先导科技专项、广东省高水平创新研究院项目等资助。

图 1 典型碳氢燃料的基础导数

图 2 在拟过冷数和拟相变数空间内的几种典型失稳模式分区

图 3 四通道系统中的流量及出口温度分布:(a) 流量;(b) 出口温度

图 4 典型工况下管道流量的瞬态发展
附件下载: